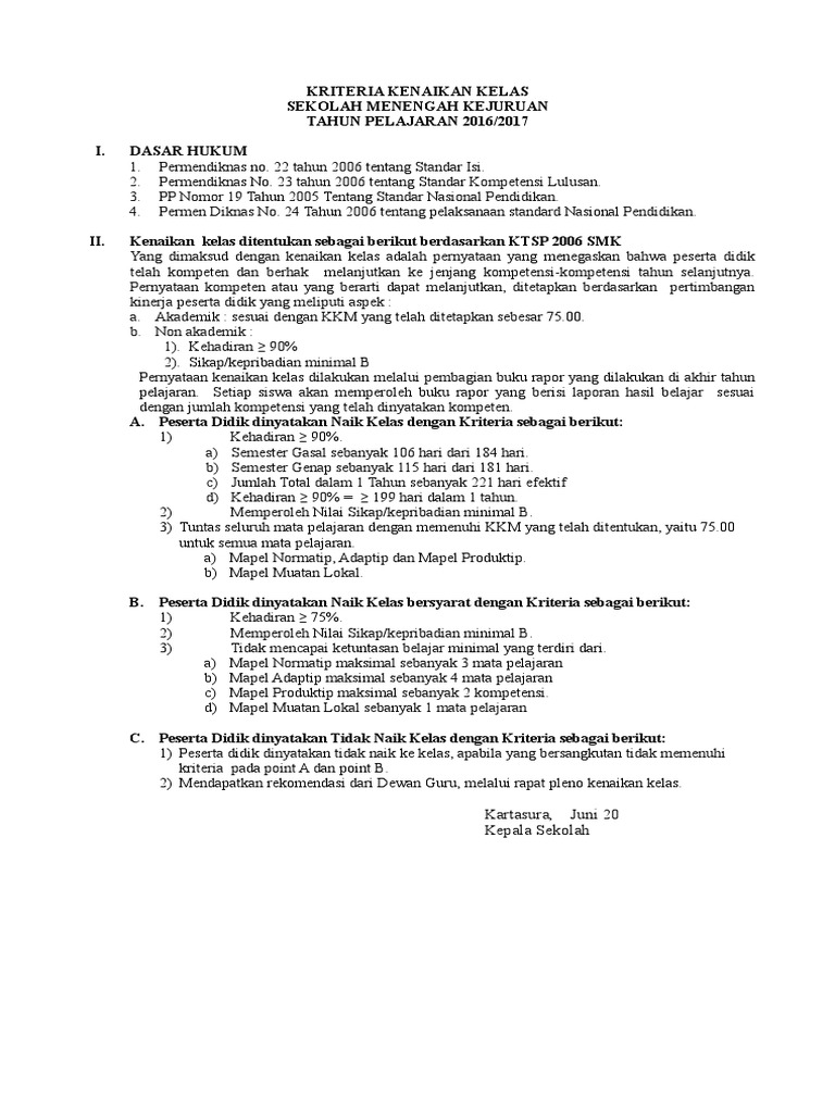
Naik Kelas Bersyarat
Kalimat Pernyataan dan Tabel Kebenaran. Banyak Didambakan Orang Danilla Riyadi.
Itulah yang dapat kami bagikan terkait contoh surat pernyataan naik kelas bersyarat.
Naik kelas bersyarat. SURAT PERNYATAAN NAIK KELAS. Contoh surat pernyataan selamat datang di portal hidupsimpel pada kesempatan kali ini kita akan membahas lengkap 11 contoh surat pernyataan saya. Contoh Surat Perjanjian Naik Kelas Bersyarat.
Naik kelas bersyarat 1. Siswa yang mempunyai nilai rata kkm dapat di nyatakan naik kelas bersyarat jika nilai suluk baik nilai yang didasarkan pada tingkat pelaksanaan tata tertib siswa dengan memperhatikan dokumen pelanggaran dari siswa masing-masing. Kadang Agak Risih Hitungannya apa ya naik bersyarat kali ya jawab Danilla.
Membuktikan suatu argumen dengan aturan bukti bersyarat 10. Admin blog Berbagi Contoh Surat 2020 juga mengumpulkan gambar-gambar lainnya terkait contoh surat pernyataan naik kelas bersyarat dibawah ini. Contoh Surat Perjanjian Naik Kelas Bersyarat Academia edu is a platform for academics to share research papers.
Itulah kata-kata kepala sekolah SMK Darunnajah Ustad Fajar Suryono Skom ketika mengawali sambutannya dalam acara Penerimaan Raport dan peringatan Isra Miraj. Di SMK Darunnajah pon-pes Nurul Ilmi Darunnajah 14. ¾ 18 Varian Proposisi Bersyarat Terdapat bentuk implikasi lain yang berkaitan dengan p q yaitu proposisi sederhana yang merupakan varian dari implikasi.
SURAT PERNYATAAN NAIK KELAS. Jika selama 1 semester nilai kurang dari ketentuan maka kenaikan kelas akan dievaluasi kembali. Soal Dan Pembahasan Aritmatika Kelas 8 Terdapat 15 soal dan pembahasanya soal psikotes matematika aritmatika.
Contoh soal deret aritmatika Soal Beserta Jawaban Kimia Kelas 10. Naik dengan kewajiban bimbel mata pelajaran tertentu. Lo pernah enggak naik kelas gak tanya Azizah Hanum.
Gara-gara bolos Danilla mengatakan orangtuanya sampai dipanggil ke sekolah. Proudly powered by WordPress Theme. 30 Full PDFs related to this paper.
Saat Arab Saudi Mengemis Ampunan Biden. Perempuan Arab Saudi dapat dipekerjakan sebagai tentara kopral tombak kopral sersan dan sersan staf menurut laporan Arab News yang berbasis di Saudi. Juknis Penulisan Blangko Ijazah Madrasah Tahun Pelajaran 20202021.
Belum ada tanggapan untuk Surat Pernyataan Siswa Naik Bersyarat Posting Komentar. A short summary of this paper. Naik percobaan dengan kewajiban bimbel mata.
Download Full PDF Package. Apabila dikemudian hari ternyata melanggar atau pernyataan ini tidak benar maka saya siap menerima segala konsekuensinya sesuai dengan hukum yang berlaku. Daffa ingin naik kelas.
Http Www Setjen Kemenkeu Go Id Api Medias 4d1295a5 716a 401e A252 801e54ee9bd2. Posting Lebih Baru Posting Lama Beranda. Kami sangat melarang sekolah menaikan muridnya dengan cara bersyarat itu.
Benar secara umum Nugraha sedang sakit panas. Ketiga variasi proposisi bersyarat tersebut adalah konvers invers dan kontraposisi dari proposisi asal p q. Siswa dapat dinyatakan naik kelas bersyarat dengan jumlah nilai kurang melebihi dari ketentuan.
Dalam hal ini nilai y tetap seperti sebelumnya yaitu 5. SURAT PERNYATAAN NAIK KELAS. Ada tiga macam kenaikan kelas di SMK Darunnajahpertama naik murni kedua naik percobaan ketiga naik bersyarat.
Membuktikan suatu argumen dengan aturan bukti tak langsung C. Dalam kesempatan ini telah dibagikan Keputusan Direktur Jenderal Pendidikan Islam Nomor 1835. Contoh surat pernyataan naik kelas bersyarat.
Perempuan di Arab Saudi sekarang dapat mengangkat senjata dan masuk ke institusi militer profesi terbaru di kerajaan yang akhirnya terbuka bagi kelompok marjinal ini. Kumpulan Contoh Surat Lamaran Kerja Contoh Surat Pernyataan Naik Kelas Bersyarat Surat Dinas Resmi Contoh Surat Pernyataan Naik Kelas Bersyarat Surat Izin Pernyataan. Danilla mengaku seorang yang pemalas ketika harus pergi ke sekolah.
Seperti adanya naik kelas percobaan walupun nilai siswa tidak mencukupi untuk ditingkatkan kelas. Berhak melanjutkan belajar ke jenjang selanjutnya. Nanti jika siswa itu tak mampu barulah diturunkan kembali.
Naik Kelas Percobaan Bersyarat. Ia pernah merasakan naik kelas bersyarat ketika masih bersekolah. By Posted on April 25 2021.
Contoh Surat Perjanjian Mahasiswa Contoh surat perjanjian pastinya anda paham betul jika ada 2 instansi melakukan kerja sama dan. Pengakuan Danilla Riyadi Malas Pergi ke Sekolah hingga Naik Kelas Bersyarat. Namun untuk Contoh Surat Perjanjian Mahasiswa.
![]()
Contoh Surat Pernyataan Naik Kelas Bersyarat Download Kumpulan Gambar
Contoh Surat Pernyataan Siswa Tidak Naik Kelas Kumpulan Surat Penting
![]()
Doc Surat Pernyataan Naik Kelas Fira Fitriarahmawati Academia Edu
Contoh Surat Perjanjian Naik Kelas Bersyarat
Contoh Surat Perjanjian Naik Kelas Bersyarat
Contoh Surat Perjanjian Naik Kelas Bersyarat
Surat Pernyataan Kenaikan Bersyarat

Posting Komentar untuk "Naik Kelas Bersyarat"